歷史發展
實驗時期
一塊古巴比倫石匾(約產於公元前1900年至1600年)清楚地記載了圓周率 = 25/8 = 3.125。同一時期的古埃及文物,萊因德數學紙草書(Rhind Mathematical Papyrus)也表明圓周率等於分數16/9的平方,約等於3.1605。埃及人似乎在更早的時候就知道圓周率了。 英國作家 John Taylor (1781–1864) 在其名著《金字塔》(《The Great Pyramid: Why was it built, and who built it?》)中指出,造於公元前2500年左右的胡夫金字塔和圓周率有關。例如,金字塔的周長和高度之比等於圓周率的兩倍,正好等於圓的周長和半徑之比。公元前800至600年成文的古印度宗教巨著《百道梵書》(Satapatha Brahmana)顯示了圓周率等於分數339/108,約等於3.139。
幾何法時期
古希臘作為古代幾何王國對圓周率的貢獻尤為突出。古希臘大數學家阿基米德(公元前287–212 年) 開創了人類歷史上通過理論計算圓周率近似值的先河。阿基米德從單位圓出發,先用內接正六邊形求出圓周率的下界為3,再用外接正六邊形並藉助勾股定理求出圓周率的上界小於4。接著,他對內接正六邊形和外接正六邊形的邊數分別加倍,將它們分別變成內接正12邊形和外接正12邊形,再藉助勾股定理改進圓周率的下界和上界。他逐步對內接正多邊形和外接正多邊形的邊數加倍,直到內接正96邊形和外接正96邊形為止。最後,他求出圓周率的下界和上界分別為223/71 和22/7, 並取它們的平均值3.141851 為圓周率的近似值。阿基米德用到了疊代算法和兩側數值逼近的概念,稱得上是“計算數學”的鼻祖。
π[圓周率]
π[圓周率]
π[圓周率] 中國古算書《周髀算經》(約公元前2世紀)的中有“徑一而周三”的記載,意即取 。漢朝時,張衡得出 ,即 (約為3.162)。這個值不太準確,但它簡單易理解。
π[圓周率] 公元263年,中國數學家劉徽用“割圓術”計算圓周率,他先從圓內接正六邊形,逐次分割一直算到圓內接正192邊形。他說“割之彌細,所失彌少,割之又割,以至於不可割,則與圓周合體而無所失矣。”,包含了求極限的思想。劉徽給出π=3.141024的圓周率近似值,劉徽在得圓周率=3.14之後,將這個數值和晉武庫中漢王莽時代製造的銅製體積度量衡標準嘉量斛的直徑和容積檢驗,發現3.14這個數值還是偏小。於是繼續割圓到1536邊形,求出3072邊形的面積,得到令自己滿意的圓周率 。
π[圓周率]
π[圓周率]
π[圓周率]
π[圓周率] 公元480年左右,南北朝時期的數學家祖沖之進一步得出精確到小數點後7位的結果,給出不足近似值3.1415926和過剩近似值3.1415927,還得到兩個近似分數值,密率 和約率 。密率是個很好的分數近似值,要取到 才能得出比 略準確的近似。(參見丟番圖逼近)
在之後的800年裡祖沖之計算出的π值都是最準確的。其中的密率在西方直到1573年才由德國人奧托(Valentinus Otho)得到,1625年發表於荷蘭工程師安托尼斯(Metius)的著作中,歐洲稱之為Metius' number。
π[圓周率] 約在公元530年,印度數學大師阿耶波多算出圓周率約為 。婆羅摩笈多採用另一套方法,推論出圓周率等於10的算術平方根。
阿拉伯數學家卡西在15世紀初求得圓周率17位精確小數值,打破祖沖之保持近千年的紀錄。德國數學家魯道夫·范·科伊倫(Ludolph van Ceulen)於1596年將π值算到20位小數值,後投入畢生精力,於1610年算到小數後35位數,該數值被用他的名字稱為魯道夫數。
分析法時期
這一時期人們開始利用無窮級數或無窮連乘積求π,擺脫可割圓術的繁複計算。無窮乘積式、無窮連分數、無窮級數等各種π值表達式紛紛出現,使得π值計算精度迅速增加。
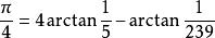
第一個快速算法由英國數學家梅欽(John Machin)提出,1706年梅欽計算π值突破100位小數大關,他利用了如下公式:
π[圓周率] 其中arctan x可由泰勒級數算出。類似方法稱為“梅欽類公式”。
斯洛維尼亞數學家Jurij Vega於1789年得出π的小數點後首140位,其中只有137位是正確的。這個世界紀錄維持了五十年。他利用了梅欽於1706年提出的數式。
到1948年英國的弗格森(D. F. Ferguson)和美國的倫奇共同發表了π的808位小數值,成為人工計算圓周率值的最高紀錄。
計算機時代
電子計算機的出現使π值計算有了突飛猛進的發展。1949年,美國製造的世上首部電腦-ENIAC(Electronic
圓周率 Numerical Integrator And Computer)在阿伯丁試驗場啟用了。次年,里特韋斯納、馮紐曼和梅卓普利斯利用這部電腦,計算出π的2037個小數位。這部電腦只用了70小時就完成了這項工作,扣除插入打孔卡所花的時間,等於平均兩分鐘算出一位數。五年後,IBM NORC(海軍兵器研究計算機)只用了13分鐘,就算出π的3089個小數位。科技不斷進步,電腦的運算速度也越來越快,在60年代至70年代,隨著美、英、法的電腦科學家不斷地進行電腦上的競爭,π的值也越來越精確。在1973年,Jean Guilloud和Martin Bouyer以電腦CDC 7600發現了π的第一百萬個小數位。
在1976年,新的突破出現了。薩拉明(Eugene Salamin)發表了一條新的公式,那是一條二次收斂算則,也就是說每經過一次計算,有效數字就會倍增。高斯以前也發現了一條類似的公式,但十分複雜,在那沒有電腦的時代是不可行的。這算法被稱為布倫特-薩拉明(或薩拉明-布倫特)演算法,亦稱高斯-勒讓德演算法。
1989年美國哥倫比亞大學研究人員用克雷-2型(Cray-2)和IBM-3090/VF型巨型電子計算機計算出π值小數點後4.8億位數,後又繼續算到小數點後10.1億位數。2010年1月7日——法國工程師法布里斯·貝拉將圓周率算到小數點後27000億位。2010年8月30日——日本計算機奇才近藤茂利用家用計算機和雲計算相結合,計算出圓周率到小數點後5萬億位。
2011年10月16日,日本長野縣飯田市公司職員近藤茂利用家中電腦將圓周率計算到小數點後10萬億位,刷新了2010年8月由他自己創下的5萬億位金氏世界紀錄。56歲的近藤茂使用的是自己組裝的計算機,從10月起開始計算,花費約一年時間刷新了紀錄。
